La CCTVV
Contact & Infos pratiques
Fonctionnement
Organisation politique
Carte du territoire
Nos 40 communes
Services communautaires
Conseil de développement
Publications
Comptes rendus des conseils communautaires
Actes administratifs
Bulletins communautaires
Autres publications
Nos offres d’emploi
Les services pour l’emploi
Subventions aux associations
France Services
France Services – Bouchardais
France Services – Richelieu
France Services – Sainte-Maure-de-Touraine
Economie
Territoire et ZA
Focus éco
Club d’entreprises
Dispositifs d’accompagnement
ZRR
Aménagement
PLUi en vigueur
Evolutions du PLUi
Procédures en cours
Modification de droit commun n°2
Révision allégée n°3
Révision allégée n°4
Déclaration de projet n°4 – Braslou – projet MAROLLEAU
Déclaration de projet n°3 – Agrivoltaïsme innovant à Panzoult
Procédures approuvées
Déclaration de projet n°2 – Panzoult
Révision allégée n°1
Révision allégée n°2
Modification de droit commun n°1
Procédures abandonnées
Abandon – Déclaration de projet n°1 – commune de Neuil
Instruction des actes d’urbanisme
Conseils aux particuliers
Géoportail-urbanisme
Politiques territoriales
Numérique
Habitat
Actualités & animations
Calendriers permanences partenaires
Point Info Habitat
Mieux chez moi en Touraine Val de Vienne
Logements jeunes
Fond de Solidarité Logement (FSL)
Santé
Actualités
Exercer sur notre territoire
Environnement
Service Eau & Assainissement
Plan Climat Air Energie Territorial (PCAET)
Syndicat de la Manse étendu – GEMAPI
Trame Verte et Bleue
Ordures Ménagères
Déchèteries
Demander un composteur
Termites
Enfance-Jeunesse
Petite enfance 0-3 ans
Enfance 3-11 ans
Jeunesse 11-17 ans
REAAP
Séjours été Enfance-Jeunesse
Faire sa jeunesse en Touraine Val de Vienne
Culture
Saison culturelle
La Fabrik Culturelle
Programmation scolaire
Programmation Petite enfance
Un été en Touraine Val de Vienne
Expo – Départ en Gare de Richelieu
Écoles de musique
Les bibliothèques du territoire
Autres équipements
Tourisme
La voie verte Richelieu-Chinon
Le gîte de la gare de Ligré-Rivière
Les échappées
Festi’Val de Vienne
Camping de la Motte
Les Passerelles
Taxe de séjour
Office de Tourisme
Sport
Sélectionner une page
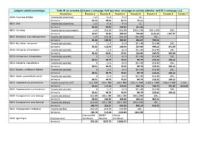
Tarifs activités économiques S1 2019